| 发布时间:2024-07-18 17:25:21 | 来源:给水排水 | 作者:本站编辑 | 浏览次数: |
采用基于数据包络分析方法的松弛值测算模型(SBM-DEA)建立了城市污水处理厂综合运行效能评估方法,对黄河流域中下游山西省、河南省和山东省29个主要城市共174座污水处理厂的综合运行效能进行量化评估;采用KruskalWallis检验法识别影响污水处理厂综合运行效能的因素。结果表明,研究区域城市污水处理厂综合运行效能平均值仅0.514 8,在运行成本和碳减排方面仍有很大的改进空间;工艺类型、污水处理负荷率、处理规模、药剂投加强度和进水COD浓度等对污水处理厂的综合运行效能有显著性影响。在此基础上,提出提升城市污水处理厂综合运行效能的对策建议。 【引用本文】:方政,曾令武,刘雨欣,等. 黄河流域中下游城市污水处理厂综合运行效能评估及改进对策研究[J]. 给水排水,2024,50(6):8-15 研究区域与方法
1.1 研究区域与数据来源
研究范围包括黄河流域中下游山西、河南和山东3个省29个主要城市174座城市污水处理厂。各污水处理厂的污水处理量、进出水水质、药耗与电耗、污泥处置量以及实际投资等数据来自“全国城镇污水处理管理信息平台”。运行成本主要考虑电费,药剂费用和员工工资等,其中污水处理厂的年耗电量,各类药剂使用量和员工人数可从“平台”中直接获取,部分污水处理厂“平台”上缺失员工人数数据,通过查询企业官网、相关微信推文信息和国家企业信用信息公示系统企业年报社保缴纳人数等获取,并结合当地电价,市场药价费用和当地的职工平均工资等进行估算。核算过程中对原始数据进行整理,去除异常数据与缺失数据过多的污水处理厂,对个别缺失数据使用加权平均值等进行补充。
1.2 评估指标体系
污水处理不仅要减污达标,也要协同推进碳减排和提升运行效能。因此,本文综合考虑城市污水处理厂减污降碳协同增效等多方面的目标,确定综合运行效能评估指标体系如表1所示。
表1 城市污水处理厂综合运行效能评估指标体系
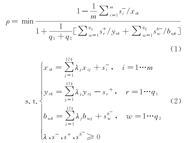
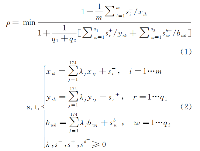
1.3 评估方法 1.3.1 污水处理厂综合运行效能评估 采用基于SBM模型的数据包络分析法进行评估。本研究统计有174座污水处理厂,每座污水处理厂可视为一个评估决策单元,对其综合运行效能进行评估。选取m种投入指标xi,q1种期望产出指标yi和q2种非期望产出指标bi,具体见表1,则第k个污水处理厂的综合运行效能值ρ如式(1)、式(2)所示: 式中,xik、yrk、bwk分别为第k个污水处理厂的第i个投入指标变量、第r个产出指标变量和第w个非期望产出指标变量;s-、s+、sb-分别为投入、期望产出和非期望产出的松弛变量(松弛变量值即投入冗余量、期望产出不足量和非期望产出超标量);λ为权重向量。本文ρ值由DEARUN软件计算。 1.3.2 污水处理厂运行效能影响因素分析 为进一步解析影响污水处理厂综合运行效能的影响因素和影响程度,选取能影响污水处理厂绩效的因素指标,采用Kruskal-Wallis检验法分析各因素对污水处理厂运行效能的影响。Kruskal-Wallis检验步骤如下: (1)将多组样本数据(ρ值)混合并按升序排序,求出各变量的秩。 (2)计算 K-W 统计量如式(3)~式(5)所示: 


(3)使用spss软件计算出统计量的检验参数p值并作出决策。若p≤α,则拒绝原假设,即差异具有统计学意义,本文中指该因素对污水处理厂运行效能具有显著性影响;若p>α,则接受原假设,结论与前相反(α为检验水准,本文取0.05)。
基础特征分析 2.1 污水处理量变化情况 图1为研究区域城市污水处理量变化情况。可以看出,近五年研究区域污水处理厂处理污水量不断增加,到2022年区域污水处理厂年污水处理量已达到45亿m3。研究区域174座污水处理厂中64.9%的污水处理厂出水执行《城镇污水处理厂污染物排放标准》(GB 18918-2002)一级A标准,35.1%的污水处理厂出水执行地方标准(严于一级A)。 图1 2018-2022年研究区域城市污水处理量 2.2 碳排放解析 2.2.1 电耗与药耗情况 电耗是污水处理厂主要能耗。整体上研究区域污水处理电耗近5年不断攀升(见图2)。本文统计了研究区域各污水处理厂碳源、除磷药剂和污泥脱水药剂投加情况,如图2所示。其中,碳源和除磷药剂是投加量较大的药剂,而污泥脱水药剂投加量相对较小。从整体上看,近5年药剂投加量呈上升趋势,但药剂投加强度略有不同,其中碳源和除磷药剂投加强度整体呈上升趋势,而污泥脱水药剂投加强度呈缓慢下降趋势。 图2 2018-2022年区域污水处理厂药剂投加与电耗情况 2.2.2 碳排放变化情况 本文参考《污水处理厂低碳运行评价技术规范》,计算出研究区域城市污水处理厂间接碳排放情况如图3a所示。整体呈递增趋势,2022年比2018年间接碳排放量增加将近75万tCO2--eq,而间接碳排放强度则在6.5 tCO2-eq/万m3左右波动。污水处理厂直接碳排放量考虑污水处理过程中生物处理单元中产生的N2O排放和初沉池及生物处理等单元厌氧过程中CH4排放,计算方法参考《污水处理厂低碳运行评价技术规范》(T/CAEPI-2022)。整体来看,研究区域污水处理厂直接碳排放量逐渐递增,近5年增加将近25万tCO2-eq,而直接碳排放强度则在2.3 tCO2-eq/万m3左右波动,直接碳排放量约为间接碳排放量的三分之一左右。研究区域污水处理厂碳排放污染情况较为严重,在双碳战略背景下,污水处理厂不但要关注污染物的削减,还要重视降碳,做到减污降碳协同增效。 综合运行能效解析 3.1 城市污水处理厂综合运行效能现状分析 本文通过数据包络分析对各城市污水处理厂运行现状进一步分析,基于已构建的指标体系和基础数据采用DEA方法进行分析。 首先,以各城市污水处理厂整体作为评估单元(DMU),基于SBM模型进行数据包络分析,结果如图4所示。可以看到,2022年有11个城市污水处理系统综合运行效能值为1,表明这些城市污水处理厂综合运行效能总体表现较好,它们在资金、物资和能源配置上都相对较好,并且投入产出比相对较高,综合运行效能较好。 考虑到每个污水处理厂的建设运行时间、工艺路线、运行管理水平以及进水水质等均有所差别,从而影响污水处理厂综合运行效能水平,而仅从城市整体的角度去考量,规模较小和中等污水处理厂的问题在总量上会被稀释,很难具体明晰城市内部的问题,需要以独立的污水处理厂为主体进行更深入的分析研究。因此,本文以城市污水处理厂为评估单元进行数据包络分析,结果如图5所示。




图3 2018-2022区域城市污水处理厂碳排放量变化情况

图4 研究区域2022年城市污水处理厂综合运行效能
图5 研究区域2022年174座城市污水处理厂综合运行效能 由图5可知,研究区域各城市污水处理厂的综合运行效能平均值为0.5148,中位数为0.4104,整体水平不高,表明研究区域污水处理厂综合运行效能整体改进空间还很大。将综合运行效能进一步分解为纯技术效能和规模效能,反映决策单元资源配置等的合理性。其中,纯技术效能是指在不考虑规模报酬变动的情况下,投入资源的利用情况,它主要衡量技术水平、管理水平和制度等因素对技术效能的影响程度;规模效能是由于企业规模因素影响的生产效能,或者说指产业结构通过优化配置对产出单元所发生作用的大小,用于衡量投入和产出在数量上能否达到最优的匹配状态。 研究区域174座污水处理厂综合运行效能的分解如图6所示,其中规模效能平均值为0.8256,纯技术效能平均值为0.6392。 图6污水处理厂综合运行效能分解 由图6亦可看出,规模效能整体高于纯技术效能,即研究区域污水处理厂在管理与技术水平上仍有较大的提升空间。纯技术效能小于1的污水处理厂,可以通过技术进步、提升管理水平、完善制度等措施来提高投入资源的利用率,减少现有资源的浪费。规模效能小于1表示该污水处理厂投入和产出未达到最优的匹配状态,企业需要调整现有运行规模以达到更优水平。 数据包络分析综合运行效能值为1的污水处理厂有39个,这些污水处理厂在资金、物耗和能耗配置方面相对较好。对比综合运行效能值为1(高效厂)的污水处理厂和低于1(低效厂)的污水处理厂各项投入产出指标如图7所示。可知高效厂吨水实际投资(固定资本存量)和运行成本都少于低效厂,而污泥处置量和主要污染物单位削减量(尤其是TP)均多于低效厂。在碳排放强度方面,高效厂总的碳排放强度低于低效厂。通过进一步分析,可以识别和量化各厂可改善的指标以提高效能。 图7污水处理厂指标对比 DEA 模型能根据前沿面的投影为每个决策单元提供目标改进量,包括投入产出指标的量化。污水处理厂可通过减少投入冗余量和非期望产出超标量,以及弥补期望产出不足量来提高运行效能。表2是研究区域污水处理厂各项指标冗余值,也可称为改进潜力值。在理想状态下,如果区域各个污水处理厂都能够达到群体最佳运行效能水平,即综合运行效能值都能达到标杆厂的水平,则区域污水处理厂将减少8.13亿元的年运行成本,污水年处理量也能增加4.6亿m3,碳排放量可以减少112.36万tCO2-eq,各个主要污染物的削减潜力也都有所增加。 3.2 污水处理综合运行效能影响因素解析 采用Kruskal-Wallis检验法对污水处理厂综合运行效能的影响因素进行研究,找出主要影响因素并判断其影响程度,在此基础上进行进一步解析。通过查阅相关文献并结合本研究实际情况,选取处理规模、污水处理负荷率、工艺类型、药剂投加强度、 表2 研究区域污水处理厂指标冗余松弛值 指标类型冗余松弛值运行成本/万元-81 273.45污水处理量/万m3+45 783.27污泥处置量/万t+196.11COD削减量/万t+7.30NH3-N削减量/万t+0.45TN削减量/万t+0.02TP削减量/万t+034总碳排放量/万tCO2-eq112.36进水COD浓度、污泥处置方式等6个指标,研究对城市污水处理厂综合运行效能的影响情况,各指标统计情况见表3。 表3 污水处理厂运行效能影响因素 使用SPSS软件对研究区域174座污水处理厂2022年的运行效能影响因素进行 Kruskal-Wallis 检验,结果如表4所示。 表4 污水处理厂运行效能影响因素 Kruskal-Wallis 检验结果 由表4可知,工艺类型、污水处理负荷率、处理规模、药剂投加强度和进水COD浓度的p值均小于0.05,表明对污水处理厂的综合运行效能存在显著性影响,可以从这几方面入手对污水处理厂运行进行改善。 3.2.1 污水处理规模的影响 由表3可以看到,随着污水处理规模的提高,污水处理厂的综合运行效能呈现上升趋势,污水处理规模在20万m3/d以上的平均效能值较高。同时,通过显著性检验,处理规模的渐进显著性为0.001<0.05,表明污水处理规模对污水处理厂的效能值具有显著性影响,这与买亚宗等的研究结果相近。由此,可以认为研究区域污水处理厂应为有一定规模效应后能提高其运行效能。 大型污水处理厂在资源配置,工艺设计,运行管理等方面具有一定优势,但是规模过高也会提升管网收集系统运行难度和管理费用。因此,对于污水处理规模,需要统筹规划,规模达不到处理需要的厂及时扩建。 3.2.2 污水处理负荷率的影响 污水处理负荷率可以反映污水处理厂运行状况,在实际运行过程中,污水处理厂的运行条件和设计条件不完全一样,实际处理水量与设计量不一致,从而会影响污水处理厂的运行效能。 由表3可知,随着污水处理负荷率的提高,综合运行效能值也在逐渐增加。同时,参考K-W检验结果,其渐进显著性为0.000小于0.05,表明污水处理厂的污水处理负荷率与综合运行效能具有高度显著影响关系,这与郭盛杰等的研究结论一致。污水处理负荷率低于60%的污水处理厂综合运行效能平均值仅为0.277 4,而负荷率在80%~100%的污水处理厂综合运行效能平均值较高。因此,低负荷运行的污水处理厂需要尽量提高其污水处理负荷率。李鑫等研究指出排水管网对污水处理负荷率的提升有重要作用, 加强管网配套建设, 扩大污水处理覆盖面可以提升污水处理负荷率。另外,虽然在超负荷时污水处理厂依然有较高的运行效能,但是污水处理厂长期超负荷运行,可能会影响设备的负载平衡,容易产生故障,导致出水水质下降,因此将污水处理负荷率控制在80%~100%较为合理。 3.2.3 工艺类型的影响 表3给出研究区域各污水处理厂运行工艺与综合运行效能值的分布情况。本研究通过数据包络分析,计算出采用AO、AAO、倒置AAO、氧化沟和其他工艺的污水处理厂平均综合运行效能值分别为0.569 3、0.482 9、0.629 0、0.567 0和0.418 6。其中,平均综合运行效能最高的是倒置AAO工艺,甚至高于其他AnO工艺。根据K-W检验结果,处理工艺的渐近显著性为0.026<0.05,可以判断为运行工艺对污水处理厂的综合运行效能存在显著性影响。这与杨莉等的研究结论一致。 因此,城市污水处理厂需要结合进水水质与设计规模等,选择适合的处理工艺,充分发挥其工艺运行优势,并通过实际运行调整提高运行效能。同时现行工艺运行效能较低的污水处理厂可以通过工艺改造来提高效能。就具体技术而言,主要针对节能减排,可以通过设备与控制系统的升级改造实现精细化曝气,精确计算和合理设计来降低水泵扬程与输送距离等,同时加强运行控制,防止出现初沉池刮泥排泥不正常、厌氧或缺氧区搅拌不充分、曝气池好氧区曝气不均匀等状况导致构筑物内存在污泥淤积,减少甲烷等的直接碳排放。 3.2.4 药剂投加强度的影响 合理的投加各种药剂能够保证污水处理厂工艺运行稳定和提高处理质量。然而,在实际操作过程中,经常会出现过量投加药剂等现象,不仅会造成运行效能下降,而且各种药剂的使用会增加间接碳排放量。 本文对污水处理过程中的碳源、除磷药剂和脱水药剂的使用进行了分析,并对不同分组污水处理厂的综合运行效能进行了群组显著性差异检验。从表3中可以看到,药剂投加较大的污水处理厂综合运行效能整体平均值较低。依据表4相关内容,可以发现,污水处理厂碳源、除磷药剂和脱水药剂的投加强度的渐进显著性分别为0.000、0.001和0.026,都小于0.05,即这3种化学药剂的投加强度均对效能值具有显著性影响。不合理的化学药剂投加会使污水处理运行效能下降,城市污水处理厂可以通过回流比优化、控制内回流液溶解氧、多点进水、间歇曝气、加药点优化、药剂比选等来控制碳源投加。通过控制污泥龄、控制厌氧池溶解氧、加药点优化、药剂比选等方法来控制除磷药剂投加。对于污泥脱水药剂,则应根据处理情况和污泥性质合理投加,同时依据实际情况及时调整,将投加强度控制在一个合适的范围内,从而提高运行效能。 3.2.5 污泥主要处置方式的影响 不同污泥处置方法的成本和对环境的影响均有所差异。各种污泥处置方式的综合运行效能平均值见表3,卫生填埋是平均效能值最低的一种处置方法,仅为0.494 3。调研的污水处理厂污泥处置方式的K-W检验,其渐进接近显著性为0.976>0.05,不同处置方式的综合运行效能分布没有显著性差异。 3.2.6进水COD浓度的影响 污水处理厂的进水水质会影响其处理效能。由表3可以发现,随着进水COD浓度的提升,污水处理厂综合运行效能平均值也呈递增趋势。通过K-W检验,在005的显著性水平上看,不同浓度区间的效能值分布具有显著性差异(p=0.025<0.05)。进水COD浓度较低时,进厂污水在后续生化处理中可能会面临碳源不足的情况,添加外来碳源会增加污水处理厂的投入,也会影响整体的运行效果。因此,需要提升污水处理厂的进水COD浓度,尤其要重视污水管网的建设,提升污水收集率,同时定期排查管道破损与错接漏接等情况,减少外水入侵。 结论 本文采用基于SBM模型的数据包络分析方法评估了区域174座污水处理厂的2022年综合运行效能情况;通过Kruskal-Wallis检验法分析了影响综合运行效能的因素,并提出相应的污水处理厂运行效能改进对策,研究得到以下结论: (1)将碳排放量作为非期望产出指标融入指标体系,构建的评估参数可反映污水处理厂减污降碳协同增效的指标。采用SBM模型的数据包络分析法能够准确反映出污水处理厂的综合运行效能,研究区域污水处理厂综合运行效能平均值仅0.5148,整体改进空间较大。 (2)Kruskal-Wallis检验法可以解析出影响污水处理厂综合运行效能的因素,工艺类型、污水处理负荷率、处理规模、药剂投加强度和进水COD浓度等对污水处理厂的综合运行效能存在显著性影响。 (3)综合运行效能相对低的污水处理厂,在运行成本和碳排放方面表现较差,今后的改进方向应重点关注增效和减碳方面。可从显著性影响因素入手,通过调整运行规模、工艺改造、精细化运行调控减少药剂投加与污水管网修复改造等提高综合运行效能。





(免责声明:整理此文是出于传递更多信息之目的。若有来源标注错误或侵犯了您的合法权益,请作者持权属证明与本网联系,我们将及时更正、删除,谢谢。)