| 发布时间:2024-06-05 09:57:19 | 来源:给水排水 · | 作者:本站编辑 | 浏览次数: |
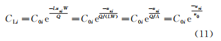
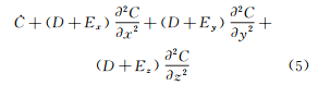
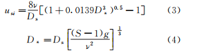
城市雨天排水污染控制专栏 雨水调节池是重要的径流污染、径流峰值控制绿色基础设施。雨水调节池设置水质控制容积,颗粒悬浮物通过沉淀作用去除,水质控制容积的设计标准为年径流总量控制率,关键设计参数为设计排空时间与设计表面负荷;通过设置微型池或永久池,可延长雨水停留时间,提升沉积物去除效能。结合案例,系统梳理了雨水调节池沉积物去除效能计算的基本公式,介绍了基于数理统计、SWMM模拟的计算方法。 【引用本文】王文亮,张鑫,赵紫依,等. 雨水调节池沉积物去除效能[J]. 给水排水,2024,50(4):83-87. 这是一篇计算文,小编觉得有点难... 通信作者 王文亮 山东临沂人,工学博士,副教授,北京建筑大学海绵城市研究院副院长。主要研究方向为城市水文、内涝治理与合流制溢流控制。 00 前言 我国推广海绵城市建设以来,建成了大量具有径流污染控制功能的源头减排设施,雨水调节池兼有径流污染与径流峰值控制功能,可在地块、街区、排水分区等不同尺度进行建设,在水环境提升、内涝治理重大需求背景下,其具有广泛的应用前景。然而,由于缺乏详实的设计方法,目前,雨水调节池的工程应用较少。本文梳理了调节池通过沉淀作用去除颗粒悬浮物(SS)的基本原理和效能计算方法,以期为雨水调节池的推广应用提供借鉴。 01 雨水调节池典型构造 20世纪70年代起,为削减暴雨径流峰值流量,雨水调节池(detention basin)作为重要的最佳管理措施(BMP)得到推广应用,为兼顾径流污染控制,在其底部增设水质控制容积,并通过延长排空时间,使径流雨水中的颗粒悬浮物通过沉淀作用去除,故又称为延时调节池(Extended Detention Basin)。在调节池底部设置微型池或具有景观功能的永久池,可提供沉积物存储空间,提升沉积物去除效能,调节池典型构造如图1、图2所示。 图1 底部设置微型池的调节池 图2 底部设置永久池的调节池 调节池的水质控制容积可通过多种方法计算得到,设计标准为年径流总量控制率α,并根据设计降雨量D计算。水质控制容积在Td时段内排空,即: 式中,Q——平均排放流量,m3/s;Td——设计排空时间,可取6~24 h。 02 沉积物去除效能计算基本公式 对于理想调节池,水流沿水平方向流动,颗粒物浓度、流速在过流断面上均匀分布,颗粒物处于自由沉淀状态,沉速为自由沉降速度,沉积物去除效能可根据式(2)计算。 式中,TEi——某粒径级配i的颗粒物去除率;hsi——某粒径级配i的颗粒物沉降高度;he——水质控制容积对应的深度;usi——某粒径级配i的颗粒物自由沉降速度;u0——从调节池顶部开始下沉而能够在池底最远点沉到池底的颗粒的自由沉降速度,也称截留沉速;Q——平均排放流量,见式(1);A——水质控制容积对应的表面积。 颗粒物自由沉降速度与雷诺数、颗粒物尺寸与密度有关,一般需试算得到,也可利用下式计算: 式中, ν——水的运动黏度,m2/s;Ds——颗粒物直径,m;D*——无量纲粒径;S——颗粒物比重,一般取2.56;g——重力加速度,9.81m/s2。 对于实际调节池,径流雨水携带颗粒悬浮物流入,受惯性作用、出水口水流抽吸、风扰动、水质浓差和温差等因素影响,实际水流处于紊流状态,且会出现短流现象。 根据质量守恒原理,水流运动符合连续性方程: 式中,C——颗粒物浓度;Qmx、Qmy、Qmz——沿三个坐标轴方向的质量流量;C·——侧向输入颗粒物浓度;D——分子扩散系数;Ex、Ey、Ez——紊流扩散(混合)系数。 认为入流颗粒物浓度恒定,∂C/∂t=0,对于一维流动,∂Qmy/∂y=0,且不考虑侧向输入颗粒物浓度,C·=0,进一步假定与沿入流方向的平流运动相比,紊流和分子扩散运动较小,则式(5)简化为: 沿调节池水平入流方向(x轴方向)和垂向(z轴方向)的质量流量分别为: 式中, V——水平入流方向断面平均流速。 将式(7)、式(8)代入式(6),并认为颗粒物浓度沿垂向呈线性分布,即∂C/∂z=-C/he,可得: 积分式(9)得: 式中 ,Ci(x)——某粒径级配i的颗粒物在调节池水平入流方向x处的浓度;C0i——某粒径级配i的颗粒物在调节池入口处的浓度;W——水质控制容积对应的宽度。 根据式(10),在调节池出口处(x=L)的颗粒物浓度为: 式中 ,CLi——某粒径级配i的颗粒物在调节池出口处的浓度。 某颗粒级配i的去除率为: 除上述方法外,FAIR等提出了计算实际调节池的沉积物去除率计算公式: 式中,n——反映紊流或短流程度的系数,n=1、2、3、5分别代表去除效能差、较差、较好、好,当n→∞时,效果最好,此时,对式(13)求极限也可得到式(12)。 GUO等[提出可增加系数1.2对理想调节池进行修正: 03 微型池或永久池对沉积物去除效能的影响 调节池的微型池或永久池存在,入流雨水有一个逐步置换池内原有雨水的过程,使水流停留时间延长,沉积物去除效果得以提高。考虑永久池使颗粒物沉降路径延长,Robin Allison对式(13)进行了修正: 式中,hw——永久池深度;hs——沉泥区设计深度,取1m和hw中的较小值,即当hw<1m时,hs=hw,此时认为永久池失去了提高沉积物去除效果的作用。 GUO等认为池内原有雨水对入流雨水有稀释作用,稀释后的浓度为: 式中 ,Vw——降雨前微型池或永久池中水的体积。 考虑混合程度,在式(16)中引入稀释系数β: 式中, β——稀释系数,1≤β≤2,完全混合时β=1,无混合时β=2。 综合式(14)、式(17): 对式(15)取极限可得到与式(18)形式类似的表达式: 沉积物总去除率可采用式(20)计算: 式中,ΔXi——沉速为usi的颗粒质量占水中全部颗粒质量的百分比;N——粒径级配数。 04 数理统计与模型模拟法计算调节池沉积物去除效能 需注意的是,上述方法计算的是设计表面负荷(溢流率)Q/A条件下的“设计平均去除率”,实际运行时,进水流量随降雨条件是随机的,为此,多年平均来看,沉积物总去除率可基于设计工况,采用历史降雨事件数理统计分析或模型(如SWMM)连续模拟的方法计算得到。 4.1 数理统计法 由历史若干年(如20~30年)实测连续降雨数据,分析计算得到系列降雨事件各个变量值,包括降雨量、降雨历时、平均降雨强度、降雨间隔时间及对应的平均径流体积、径流流量,经过统计分析,可进一步得到这些变量的平均值(Mean)和离差系数(Cv),并可得到符合伽马(Gamma)理论分布的,不同类型设施的径流流量、体积和污染物控制效能计算公式及其对应的图表,利用这些图表,即可采用图解法计算不同类型设施在一定设计工况条件下的多年平均径流控制效能。以调节池沉积物去除效能计算为例介绍如下。 首先计算降雨过程中调节池动态入流条件下的“动态去除率”。采用式(12)计算各粒径级配颗粒物的“设计平均去除率”TEi,采用图解法,并按式(21)计算其多年平均去除率,进一步可得到多年平均沉积物总去除率TTE及未去除率fD=(1-TTE)。 式中,TEiL——某粒径级配i的多年平均去除率;Z——低表面负荷对应的最大去除率,可采用图解法得到;Cvq——径流流量离差系数。 其次计算无降雨(旱天)期间调节池永久池静水沉淀条件下的“静态去除率”。结合式(2),采用图解法,计算多年平均沉积物总去除率TTE及未去除率fQ=(1-TTE)。 总去除率根据下式计算得到: 4.2 SWMM模型模拟法 在SWMM模型中,采用如下方法计算调节池中悬浮颗粒物浓度变化过程。在理想调节池中,根据式(2),经过Δt时段,某粒径级配i的去除率为Δtusi/he,总悬浮物去除率为∑ΔXiΔtusi/he,故悬浮颗粒物浓度变化值为: 式中 ,C(t)——t时刻某粒径级配i的颗粒物浓度。 对于具体案例,由于∑ΔXiusi未知,引入参数k=∑ΔXiusi,具有速度量纲,作为所有沉积物沉速的特征值,并建议k=0.01英尺/小时。当Δt→0时对式(23)取极限得到: 在t到(t+Δt)时段内,对式(24)积分得到: 式中 ,C*——背景浓度值,即微型池或永久池中难以沉淀去除的悬浮颗粒物浓度,建议C*=20 mg/L。 根据式(25),模型便可计算调节池中悬浮物浓度过程线。 05 案例研究 以某城市某排水分区为例,面积40 hm2,径流系数0.6。调节池设计年径流总量控制率62%,设计降雨量30 mm,设计排空时间Td=12 h,水质控制容积Ve=10×40×0.6×30÷2=3 600(m3),表面积A=3 000 m2,根据式(1),平均排放流量Q=0.083 m3/s,表面负荷为Q/A=0.000 0278(m/s),n=1.67,β=1,微型池/永久池深度hw=0.011 m,沉积物存储空间深度为hs=0.005 m,Vw=18 m3,Vs=15 m3。该市年均降雨量527.4mm,调节池进水颗粒悬浮物事件平均浓度EMC=100 mg/L。求沉积物总去除率TTE如表1所示。 表1 沉积物总去除率计算 由表1可知,较式(12),式(13)、式(15)、式(18)均考虑了紊流或短流的影响,式(15)、式(18)还考虑了微型池或永久池对停留时间的延长作用或进水的稀释作用,本例中,式(15)与式(18)计算结果相差较小,实际项目可按照保守设计的原则进行选用,按照式(15)与式(20)计算的总去除率为0.895。 此外,根据上述数据,调节池年收集径流体积为0.62×10×40×0.6×527.4=78 477.12(m3),进水颗粒悬浮物质量为7847.71kg,调节池截留悬浮物质量为7 847.71×0.895=7 022.53(kg),体积为7 022.53/1 000/2.56=2.74(m3),则调节池清淤频率为15/2.74=5.5(年),即每5.5年清淤1次。 06 结论 实际调节池的沉积物去除效能可根据设计表面负荷计算,也可采用数理统计法或模型模拟法计算,前者根据设计表面负荷,在已知颗粒物粒径级配、微型池或永久池尺寸条件下进行计算,后者需对历史多年连续降雨数据进行统计分析,或将连续降雨输入至模型中通过连续模拟计算得到。 结合实际案例,设计年径流总量控制率为62%,设计排空时间为Td=12h时,调节池的沉积物总去除率为89.5%。可通过提高设计年径流总量控制率,延长设计排空时间,或增大微型池、永久池池容,进一步提高调节池沉积物总去除率。 



























(免责声明:整理此文是出于传递更多信息之目的。若有来源标注错误或侵犯了您的合法权益,请作者持权属证明与本网联系,我们将及时更正、删除,谢谢。)
