| 发布时间:2024-12-05 11:06:11 | 来源:给水排水 | 作者:王文亮,等 | 浏览次数: |
滞涝池是重要的城市排涝除险基础设施,在我国具有广泛的应用基础,但尚缺乏详细有效的规划设计方法。总结实践经验,结合设计案例,介绍了滞涝池的典型构造和工作原理,提出了基于“出流管制、径流分担”的滞涝池规划方法,给出了详细的池形设计、出水构筑物水力计算方法。SWMM模型分析表明,滞涝池实现了85%的年径流总量控制,并削减1年、3年、10年及100年一遇峰值流量至开发前的水平。我国应加快完善“平雨两用”滞涝池设计标准,提高蓄排结合的城市排水防涝基础设施规划建设水平,增强城市韧性。
引用本文:王文亮,张鑫,赵紫依,等. 滞涝池设计方法[J]. 给水排水,2024,50(10):65-72.
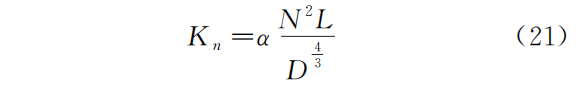
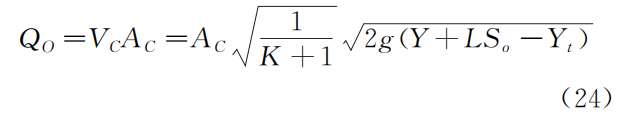
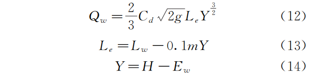
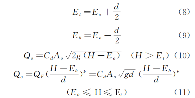
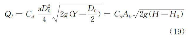
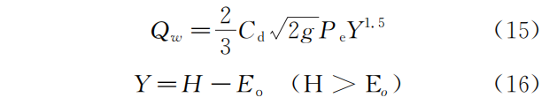
01 典型构造 滞涝池的典型构造包括进水口、前池、小流槽、微型池、调蓄空间、出水构筑物和溢水道,如图1和图2所示。 图1 滞涝池典型构造 图2 “平雨两用”滞涝池典型构造 滞涝池进水口一般包括管道进水口和地表进水口,设计标准分别为2~10年一遇和20~100年一遇。进水首先流入前池,然后漫过前池堰顶水平扩散至调蓄空间,故前池可以扩展集中入流、消能降速,起到消除侵蚀、促进颗粒物沉淀的作用。为提升消能效果,促进较大粒径颗粒物在前池中沉淀下来,可在前池内增设消能墙。 在调节池底部,通过小流槽转输高频率、污染较严重的径流,小流槽的转输能力一般为100年一遇入流峰值流量的1.0%~3.0%;纵坡较大时,可在小流槽中设置跌水以减少侵蚀。小流槽一端与前池连接,一端与微型池连接,微型池可进一步收集沉积物,微型池另一端与出水构筑物连接。 出水构筑物通过开孔板、垂向孔及水平孔收集低流量到高流量的雨水进入混凝土井室,再通过排水管(或涵洞)排入下游排水系统或受纳水体。超过滞涝池调蓄能力的雨水由溢水道排出。 滞涝池的调蓄空间针对多个降雨事件进行设计,如图2所示。底部为水质控制容积,中间层是为控制雨水管渠设计重现期2~10年一遇暴雨径流峰值流量设置的调蓄容积,从10年一遇峰值流量控制水位到溢水道的堰顶,则提供了额外的调蓄容积,以应对内涝防治设计重现期20~100年一遇暴雨事件,从溢水道堰顶到调节池堤顶是超高。为了模拟集水区开发前的水文特征,底部调蓄水量宜在6~24h内腾空,而100年一遇调蓄水量应在24~72h内排空。 由于滞涝池调蓄标准较高,往往需要较大的调蓄空间。城市建成区寸土寸金,在建筑小区、社区或街区等不同尺度上,将有条件的城市公园、广场等开放空间建设或更新改造为“平雨两用”的滞涝空间,平时发挥休闲娱乐功能,暴雨时临时发挥涝水调蓄功能,对于应对城市内涝风险、提高城市韧性至关重要,如图2和图3所示。 图3 “平雨两用”滞涝池工程实景 02 规划方法 天然水系在长期的径流冲蚀下形成,随着上游城市开发建设,集水区不透水面积增加,导致洪峰流量产生的频率不断增加,原有河道断面的行洪能力越发不足。当行洪断面无法扩大时,必须对接入的洪峰流量进行管理,如对城市排放的峰值流量进行管制,提出不同设计重现期对应的排放限值,称为“出流管制”。当城市入河排放口排放限值确定之后,排放口上游各排水分区的排放限值可同理得以确定。 如图4所示,根据河道某断面行洪能力确定城市排水干道排放口的排放限值为Qa,排水干道上各节点的设计行泄能力分别为Q3、Q2和Q1,据此可确定各节点的排放限值,以排水干道下游节点为例,其排放限值Qa3为设计行泄能力富余量(Q3-Q2)。若上游排水分区排放峰值流量Qp>Qa3,可在排水分区内规划滞涝池等调蓄设施,将峰值流量降低至Q0≤Qa3。通过滞涝池等调蓄设施分担径流量,使外排峰值流量满足排放限值要求,称为“径流分担”。 图4 “出流管制-径流分担”策略下的滞涝池规划方法 规划阶段,需确定滞涝池的布局和规模。滞涝池可在居住、公建等源头地块内布设,也可在社区、街区等排水分区尺度上布设,如布设在地势较低的公园绿地、郊野绿地内。由于规划阶段集水区详细的下垫面布局、地形及排水防涝设施高程等条件无法确定,滞涝池容积可采用水文方法进行估算。至于设计排放限值,可根据开发前径流峰值流量、下游排水能力,并参照当地规范标准确定。 无论城市新开发区还是建成区,“出流管制、径流分担”均是非常有效的径流峰值管控方法。该方法需借助水文水力计算模型对规划方案进行效果评估,以达到流域内涝风险防治目标,城市开发建设的各个阶段,还需结合实测数据,借助该模型对实施效果进行评估,以不断修正后期建设方案。 03 设计方法 设计阶段,下垫面布局、地形、排水管网详细设计资料均可获得,滞涝池的位置、集水区、进出水条件已知,集水区排放限值、滞涝池入流过程线、滞涝池池形、出流过程线等便可计算获得,滞涝池设计流程如图5所示。 图5 滞涝池设计流程 集水区排放限值可取集水区开发前峰值流量与下游排水能力的较小者,开发前峰值流量可通过模拟获得,其中集水区不透水面积比可取5%~8%,其他水文参数可与开发后保持一致。开发后集水区径流过程线(即滞涝池入流过程线)可通过推理公式法得到,也可采用模型模拟。可采用有限差分法对调蓄水位和出流量进行演算,对滞涝池控峰效果进行评估。前池、微型池设计可参考相关文献,小流槽设计方法同明渠,本文仅介绍池形和出水构筑物水力设计。 3.1 池形设计 池形设计需确定调蓄容积及不同水位处的截面形状与尺寸。水质控制容积可采用式(1)进行估算,10年一遇、100年一遇峰值流量控制容积可参照相关文献计算。 式中 φ——雨量径流系数; H——年径流总量控制率对应的设计降雨量,mm; F——集水区面积,hm²; d——滞涝池水质控制水位对应的水深,m; Td——水质控制容积对应的设计排空时间,可取6~12h; t——当地平均场次降雨历时,可取12h; A——滞涝池底面积,m²。 滞涝池的池形、尺寸根据项目选址条件确定,可近似选用矩形、三角形等形态。以矩形池为例,其几何参数为滞涝池在垂直方向上各个截面的宽度和长度,如图6所示。两个截面之间的调蓄量按式(2)~式(6)计算: 式中 L——池底长度,m,下标1指滞涝池池底,2指上层截面; B——池底宽度,m; z——边坡坡度; H——垂向深度,m; V——调蓄量,m³。 图6 矩形滞涝池池形设计 3.2 出水构筑物设计 出水构筑物为混凝土结构的井室,开孔板、垂向孔、水平孔分别为延时出水口、低流量出水口和高流量出水口,是出水构筑物的收水端;排水管是出水构筑物的泄水端,溢水道为应急出水口,如图7所示。当混凝土井室收水量超过泄水量时,井室水深会增加;而对于给定的水深,需同时计算收水和泄水能力,并以较小者作为出水构筑物的设计工况。 图7 开孔板、垂向孔、水平孔与设计水位关系 开孔板材质一般为镀锌钢板,垂直安装在出水构筑物一侧内壁上,用于延时排放水质控制水位以下的雨水,排空时间宜为6~12h;垂向孔设置在延时出水口上方,用于排放2~10年一遇峰值流量控制水位以下的雨水,外排峰值流量不得超过相应排放限值;水平孔一般为镀锌钢格栅,安装于出水构筑物顶部,用于排放20~100年一遇峰值流量控制水位以下的雨水,外排峰值流量不得超过相应排放限值;溢水道用于排放超过滞涝池调蓄能力的雨水。 3.2.1 开孔板水力计算 开孔板可开设若干行、列孔,如图8开设了N列、M行孔径为2cm的小孔。水面高程H给定,同一行出流孔的总流量为单个孔口流量之和,如式(7)所示,由此可得到开孔板“水位-出流量”过程。 式中 Qo——位于孔中心高程Eo上同一行孔的出流量,m³/s; Cd——流量系数,一般为0.6~0.7; Ao——孔口面积,m²; N——列数; g——重力加速度,m/s²; H——水面高程,m; Eo——孔中心高程,m。 图8 开孔板水力计算 3.2.2 垂向孔水力计算 垂向孔为孔流或堰流,如图9所示。对于圆形孔或矩形孔孔流,分为完全出流(H>Et)和非完全出流(H≤Et)两个阶段计算不同水位下的出流量。 式中 Et——孔顶部高程,m; Eb——孔底部高程,m; Eo——孔中心高程,m; d——开孔高度或孔径,m; Ao——开孔面积,m²; H——水面高程,m; Qo——孔流量,m³/s; QF——H=Et时的孔流量,m³/s; k——常数,圆孔k=2,矩形孔k=1.5。 对于堰流,以图8中的薄壁矩形堰为例,可采用式(12)~式(14)计算出流量。 式中 Qw——堰流量,m³/s; Cd——流量系数,可取0.60~0.65; Lw——堰顶宽度,m; Le——有效堰宽,m; m——有侧向收缩的边数; g——重力加速度,m/s²; Ew——堰顶高程,m。 图9 垂向孔与水平孔水力计算 3.2.3 水平孔水力计算 水平孔的收水能力取决于孔的高程和尺寸,孔流量随着水位变化而变化。孔上水深较小时,孔口未完全淹没,此时,水平孔的过流为堰流,堰宽为孔口周长,图9中水平孔收集来自钢格栅三个边的水流,流量计算如下: 式中 Qw——堰流量,m³/s; H——堰上水面高程,m; Pe——有效堰宽,m; Y——有效堰上水头,m。 当孔口淹没至一定深度时,按孔流计算流量: 式中 Qo——孔流量,m³/s; n——格栅开孔面积折减系数,0.5~0.6。 水平孔实际收水能力Qc为: 3.2.4 排水管水力设计 排水管泄水能力受入口处作用水头和出口处尾水影响,分别为入口控制工况和出口控制工况,给定泄水能力,需要较大作用水头者决定了涵洞的运行工况,或者说,给定作用水头,过流量较低者决定了涵洞的泄水能力。实际上,尾水设计条件不一定出现,因此,宜按入口控制工况进行涵洞设计,为此,可在涵洞入口处安装限流板,限流板使入口作用水头升高,进而形成入口控制工况,例如,图10所示的排水管管径为D,在其入口处插入了一块孔径为Do的限流板。 图10 排水管水力计算 排水管的泄水能力可通过涵洞水力计算得到。 (1)入口控制。入口控制工况下,涵洞流量可采用孔流流量公式计算: 式中 QI——入口控制工况下涵洞流量,m³/s; D0——入口处安装限流板后涵洞的当量直径,m; H0——限流板中心高程,m。 式(19)仅在作用水头高于尾水水头时适用。 (2)出口控制。出口控制工况下,列入口和出口处两个过流断面的能量方程,可求解涵洞流量: 对于圆管: 对于非圆管道: 式中 H——入口处作用水头,m; Y——入口处水深,m; L——排水管长度,m; S0——排水管坡度; Ke——入口处局部损失系数,可取0.3~0.5; Kx——出口处局部损失系数,可取0.5~1.0; Kb——管道拐弯局部损失系数,可取0.2~0.5; Kn——沿程损失系数; N——曼宁粗糙系数,混凝土管可取0.015; D——管径,m; R——水力半径,m; Yt——尾水深度,m; α、β——单位换算系数,α=124,β=19.5。 令总损失系数为K: 出口控制工况下,按水深计算时,涵洞流量QO为: 按水面高程计算时,涵洞流量QO为: 式中 Ac——排水管过流断面面积,m²; Ht——尾水水面高程,m。 对于给定的作用水头,排水管实际泄水能力QC为: 04 案例分析 以占地798m²的某不透水广场为例,在广场低处绿地内建设滞涝池控制广场外排径流污染和峰值流量,设计标准为:①水质控制,设计降雨量为33.6mm,年径流总量控制率为85%;②峰值流量控制,10年、100年一遇设计暴雨外排峰值流量与开发前(不透水面积比7.5%)一致。 水质控制、10年与100年一遇设计降雨历时选用2h,雨型根据交叉区块法确定,如图11所示。采用SWMM模型,建立开发前、开发后(现状)广场模型,计算得到开发前10年、100年一遇场地外排峰值流量分别为0.02m³/s和0.03m³/s,作为滞涝池峰值流量排放限值,同时计算得到现状径流流量过程线作为滞涝池入流过程线。 图11 2 h设计降雨雨型 根据场地条件,滞涝池池形定为梯形,池底面积为50m²,堤坝为直立挡墙。根据前文所述方法,初步计算得到水质控制容积为15m³,10年、100年一遇峰值流量控制所需调蓄容积分别为12m³和17m³,故综合考虑水质和峰值控制容积,10年、100年一遇暴雨对应的总调蓄容积分别为27m³和32m³,根据下游市政管网底高程19.7m,进一步确定滞涝池池底高程为20.0m,并得到不同水位H对应的滞涝池截面面积A,该“H-A”系列值称为滞涝池的“水位-调蓄容积”曲线,有了该系列值,便可以在SWMM模型中构建该滞涝池。 根据上述条件,参照前文方法,进行出水构筑物水力计算,得到开孔板、垂向孔、水平孔、排水管尺寸和安装高度,得到水位H、出流量O、调蓄量S系列值,“H-O-S”称为滞涝池特征曲线,将该系列值作为出流条件输入SWMM模型,校核径流控制效果,据此调整池形和出水构筑物尺寸设计,直到外排峰值流量满足排放限值要求。SWMM模型构建如图12所示,出水构筑物水力计算如表1和图13所示,模型分析表明,滞涝池可控制1年、3年、10年、100年一遇设计暴雨径流峰值流量与开发前一致。 图12 SWMM模型建模 表1 出水构筑物水力计算 图13 出水构筑物设计与峰值流量控制效果 05 结论与建议 本文提出了基于“出流管制、径流分担”的滞涝池规划方法,并结合实践案例,给出了滞涝池设计方法,效果评估表明,按照本文介绍的方法,滞涝池可综合实现径流污染控制和峰值流量控制,为完善蓄排结合的城市排水防涝工程技术体系,采用生态的、复合功能的方法进行城市雨水管理提供了有效的解决方案。 为加快滞涝池等城市调蓄设施的建设,建议以海绵城市建设、排水防涝、城市更新、城市体检等为契机,加快“平雨两用”滞涝空间规划建设,不断总结建设经验,尽快出台设计标准,有效指导推广落地。 同时,应加强现有滞涝池的监测评估,以排水分区为基本单元,衔接流域防洪,借助模型评估,建立城市内涝风险分析长效滚动分析机制,加强滞涝池等绿色基础设施的建设质量,不断提升城市在应对暴雨方面的韧性。 微信对原文有修改。原文标题:滞涝池设计方法;作者:王文亮、张鑫、赵紫依、郭纯园、李俊奇、章林伟、彭帅、孙欣;作者单位:北京建筑大学 城市雨水系统与水环境教育部重点实验室、美国科罗拉多大学、中国城镇供水排水协会、沈阳市城乡建设事务服务中心、广安市园林局。刊登在《给水排水》2024年第10期。