| 发布时间:2024-11-28 10:48:56 | 来源: 水处理研究院 | 作者:本站编辑 | 浏览次数: |
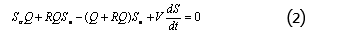
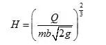
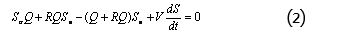
一、曝气池容积计算 1、BOD—污泥负荷率(Ns)曝气池容积计算法 1)BOD—污泥负荷率(Ns)的物理概念 曝气池内单位重量(千克)的活性污泥,在单位时间内能够接受并将其降解到某一规定额数的BOD5重量值,被称为BOD—污泥负荷率(Ns)。即[1][2]: 式中 Ns——BOD—污泥负荷率,kg BOD5/kgMLSS·d Q——污水设计流量,m3/d Sa——原污水的BOD5值,mg/l X——曝气池内混合液悬浮固体浓度(MLSS),mg/l V——曝气池容积,m3 2)曝气池物料平衡方程式 如图1为完全混合活性污泥系统的物料平衡图[1][4]。 在稳定条件下,对于系统中的有机物进行物料平衡,则有: 整理得: 由莫诺(Monod)方程式的推论知[1][4] : 代入式⑶,并整理得: 代入式⑹得: 或 Se——处理水出水有机物浓度,mg/l V——有机物降解速度, K2——有机物降解常数。 曝气池容积计算 由式⑴有: 将式⑼代入式⑽得: 式⑽即为按BOD—污泥负荷率法计算曝气池容积得计算公式,式⑾为经变换后得计算公式。 2、污泥龄(θc)曝气池容积计算法 1)污泥龄(θc)的物理概念 曝气池内活性污泥总量与每日排放污泥量之比,称为污泥龄(θc)。也即劳伦斯—麦卡蒂(Lawrence—McCayty)的“生物固体平均停留时间” [1]。即: ΔXv——曝气池内每日增加的挥发性污泥量(Vss),kmg/l 其它——同前 2)生物增长基本方程式 在曝气池内,活性污泥微生物的增殖是微生物的合成和内源代谢共同活动的结果。即: 曝气池容积计算 由式(12)有 二、曝气池进出水设计 1、曝气池的进水设计 初沉池的来水通过DN1000mm的管道送入厌氧—缺氧—好氧曝气池首端的进水渠道,管道内的水流速度为0.84m/s。在进水渠道中污水从曝气池进水口流入厌氧段,进水渠道宽1.0m,渠道内水深为1.0m,则渠道内最大水流速度 式中:v1 ——渠内最大水流速度(m/s ); b1 ——进水渠道宽度(m); h1——进水渠道有效水深(m)。 设计中取 b1 =1.0m,h1=1.0m v1 =0.66/(2×1.0×1.0)=0.33m/s 反应池采用潜孔进水,孔口面积 F=Qs/Nv2 式中:F——每座反应池所需孔口面积(m2); v2 ——孔口流速(m/ s ),一般采用0.2~1.5 m/ s 。 设计中取v2=0.4 m/s F=0.66/2×0.4=0.66m2 设每个孔口尺寸为0.5m×0.5m,则孔口数 N=F/f 式中:n——每座曝气池所需孔口数(个); f——每个孔口的面积( m2 )。 n=0.66/0.5×0.5=2.64,取n=3 孔口布置图如下图图所示: 2、曝气池出水设计 厌氧—缺氧—好氧池的出水采用矩形薄壁堰,跌落出水,堰上水头: 式中:H——堰上水头(m); Q——每座反应池出水量(m3/s),指污水最大流量( 0.579m/s);与回流污泥量、回流量之和(0.717×160% m3/s); m——流量系数,一般采用0.4~0.5; b——堰宽(m);与反应池宽度相等。 设计中取m=0.4,b=5.0m 设计中取为0.19m。 厌氧—缺氧—好氧池的最大出水流量为(0.66+0.66/1.368×160%)=1.43m3/s,出水管管径采用DN1500mm,送往二沉池,管道内的流速为0.81m/s。 1、温度 好氧活性污泥微生物能正常生理活动的最适宜温度范围是15-30℃。一般水温低于10℃或高于35℃时,都会对好氧活性污泥的功能产生不利影响。当温度高于40℃或低于5℃时,甚至会完全停止。 在一定范围内,随着温度的升高,虽然不利于氧向水中转移,却可以加快生化反应速率,微生物增殖速率也会加快。但温度突升并超过一定限度时,就会产生不可逆破坏。相比之下,温度降低对微生物的影响要小一些,一般不会出现不可逆破坏。 如果水温的降低变化缓慢,活性污泥中的微生物可以逐步适应这种变化,通过采取降低负荷、提高溶解氧浓度、延长曝气时间等措施,仍能取得较好的处理效果。 因此,在实际生产运行中,要重视水温的突然变化,尤其是水温的突然升高。为防止水温过高的工业废水对好氧生物处理产生不利影响,应进行降温处理。 2、pH值 活性污泥微生物最适宜的pH值介于6.5~ 8.5之间。pH值降至4.5以下,活性污泥中原生动物将全部消失,大多数微生物的活动会受到抑制,优势菌种为真菌,活性污泥絮体受到破坏,极易产生污泥膨胀现象。 当pH值大于9后,微生物的代谢速率将受到极大的不利影响,菌胶团会解体,也会产生污泥膨胀现象。当污水pH值高于10或低于5时,在进入曝气池之前,必须进行酸碱中和调整pH值,使进入曝气池的污水pH值至少在6-9之间。 活性污泥混合液本身对pH值变化具有一定的缓冲作用,因为好氧微生物的代谢活动能改变其活动环境的pH值。比如说好氧微生物对含氮化合物的利用,由于脱氮作用而产生酸,降低环境的pH值;由于脱羧作用而产生碱性酸,又可使pH值上升。因此,经过长时间的驯化,活性污泥法也能处理具有一定酸性或碱性的污水。此外,污水本身所具有的碱度对pH值的下降有一定的抑制作用。 但是,污水的pH值发生突变,例如碱性污水进人已适应酸性环境的活性污泥系统时,将会对其中微生物造成冲击,甚至有可能破坏整个系统的正常运行。 因此,酸碱污水是否进行中和处理,要根据实际情况而定,若是进入活性污泥系统的污水pH值变化不大,尤其是只有微酸性水或微碱性水其中之一时,往往不需要中和处理,而pH值变化幅度较大时,应事先进行中和处理调整pH值至中性。 3、COD和BOD5 无论采用哪种活性污泥法,曝气池所能承受的有机负荷都是有一定限度的,超过限度,曝气池的运行效果将难以保证。对于正在运行的曝气池,进水BOD5最高值都是固定的,由于BOD5分析周期较长,实际上多以COD分析结果指导生产。 曝气池进水有机负荷一旦超标,就应当立即采取降低进水量、加大污泥回流量、提高充氧效率等措施,以免对整个二级生物处理系统造成冲击和保证出水水质。 如果进水COD值偏低,就应当立即采取增加进水量、减少污泥回流量和减少风机运转台数,降低表曝机转速等,降低充氧效率的措施,以免造成不必要的动力浪费。 4、氨氮和磷酸盐 理论上,微生物对氮、磷的需要量要按BOD5:N: P - 100:5:1来计算,但实际活性污泥法处理系统曝气池进水中的BOD5与氮、磷的比例往往低于此值,系统也能正常运转。 氮、磷的含量因处理的工业废水种类不同差别很大,有的污水氮、磷的含量很高,不经过脱磷除氮,二沉池出水氮、磷的含量就会超标。而对于氮、磷的含量很低的污水,如果不能及时补充一定量的氮、磷,微生物的功能会受到限制,二沉池出水的COD和BOD5就难以保证达标。 当处理氮、磷的含量很低的工业废水时,对于正在运行的曝气池,曝气池进水中氨氮和磷酸盐的含量分别为10mg/L和5mg/L左右,即可满足混合液微生物对氮、磷的需要。如果曝气池进水中氨氮和磷酸盐的含量长时间低于上述值,就应当及时增加氮、磷的投加量。 5、有毒物质 对于特定的工业废水,有毒物质的种类一般不变,含量和排水量却难以恒定。除了需要采取均质调节等一级处理措施之外,必须对曝气池进水中有毒物质的含量进行监测和控制。 活性污泥驯化结束后,要根据混合液对进水中有毒物质的适应程度,结合运行经验,确定影响生化系统的进水有毒物质最高限值。 如果曝气池进水中有毒物质的含量长时间超过限值,就应当采取降低进水量、加大污泥回流量、提高充氧效率等措施,避免因混合液微生物中毒而影响处理效果。





或
又


式中 X——曝气池混合液挥发性悬浮固体浓度(MLVSS),mg/l


式中 θc——污泥龄,d
或
此式⒁经整理即可得劳伦斯—麦卡蒂(Lawrence—McCayty)方程式的推论—曝气池内活性污泥浓度与污泥龄之间的关系式[1]
该式即为资料[1][2]推荐的按污泥龄计算曝气池容积公式:

将式(5)、(12)式代入式(13),并整理得:
式(18)为经变换后的计算公式。



三、曝气池进水常规监测的五大项目
1、曝气池MLSS或MLVSS数值怎样控制为好?
四、曝气池混合液常规监测项目
曝气池混合液须维持相对固定的污泥浓度MLSS,才能维持好处理效果和处理系统稳定运行。每一种好氧活性污泥法处理工艺都有其最佳曝气池的MLSS,比如普通空气曝池活性污泥的MLSS最佳值为2g/L左右,而AB法工艺A段的MLSS最佳值为5g/L左右,两者差距很大。
一般而言,曝气池中MLSS接近其最佳值时,处理效果最好。而MLSS过低时往往达不到预期的处理效果。
当MLSS过高时,泥龄延长,维持这些污泥中微生物正常活动所需的溶解氧数会增加许多,导致对充氧系统能力的要求增大。同时曝气池混合液的密度会增大,阻力增大,也就会增加机械曝气或鼓风曝气的电耗。
也就是说,虽然MLSS偏高时,可以提高曝气池对进水水质变化和冲击负荷的抵抗能力,但在运行上往往是不经济的。而且有时还会导致污泥过度老化,活性下降,最后甚至影响处理水质。
在实际运行时,有时需要通过加大剩余污泥排放的方式强制减少曝气池的MLSS值,刺激曝气池混合液中的微生物的生长和繁殖,提高活性污泥分解氧化有机物的活性。
2、什么是曝气池混合液污泥沉降比(SV)?有什么作用?
污泥沉降比(SV)的英文是Settling Velocity,又称30min沉降率,是曝气池混合液在量筒内静置30min后所形成的沉淀污泥容积占原混合液容积的比例,以%表示。
一般取混合液样1000ml,用满量程1000ml量筒测量,静置30min后泥面的高度恰好就是SV的数值。由于SV值的测定简单快速,因此是评定活性污泥浓度和质量的常用方法。
SV值能反映曝气池正常运行时的污泥量和污泥的凝聚性、沉降性能等。可用于控制剩余污泥排放量,SV的正常值一般在15%-30%之间,低于此数值区说明污泥的沉降性能好,但也可能是污泥的活性不良。
可少排泥或不排泥或加大曝气量。高于此数值区,说明需要排泥操作,或应采取措施加大曝气量,也可能是丝状菌的作用使污泥发生膨胀,需加大进泥量或减少曝气量。
3、测定SV值时容易出现什么异常现象?为什么?
(1)污泥沉淀30-60min后呈层状上浮且水质较清澈。说明活性污泥反应功能较强,产生了硝化反应,形成了较多的硝酸盐,在曝气池中停留时间较长,进人二沉池中发生反硝化,产生气态氮;使一些污泥絮体上浮。可通过减少曝气量或减少污泥在二沉池的停留时间来解决。
(2)在量筒中上清液含有大量的悬浮状微小絮体,而且透明度差、混浊。说明是污泥解体,其原因有曝气过度、负荷太低造成活性污泥自身氧化过度、有害物质进入等。可减少曝气量,或增大进泥量来解决。
(3)在量筒中泥水界面分不清,水质混浊其原因可能是流人高浓度的有机废水,微生物处于对数增长期,使形成的絮体沉降性能下降,污泥发散。可采取加大曝气量,或延长污水在曝气池中的停留时间来解决。
4、污泥容积指数(SVI)是什么?
污泥容积指数(SVI)的英文是Sludge Volume Index,是指曝气池出口处混合液经过30min静置沉淀后,每克干污泥所形的沉淀污泥所占的容积。单位以ml/g计。
计算公式如下:

SVI与SV值的关系:

SVI值排除了污泥浓度对污泥沉降体积的影响,因而比SV值能更准确地评价和反映活性污泥的凝聚、沉淀性能。一般来说,SVI值过低说明污泥颗粒细小,无机物含量高,缺乏活性;SVI过高说明污泥沉降性较差,将要发生或已经发生污泥膨胀。城市污水处理厂的SVI值一般介于70~100之间。
SVI值与污泥负荷有关,污泥负荷过高或过低,活性污泥的代谢性能都会变差,SVI值也会变很高,存在出现污泥膨胀的可能。
5、曝气池混合液SVI值升高的原因是什么?(不想看字直接拉倒下面看图)
(1)水温突然降低使微生物活性降低,分解有机物的功能下降。
(2)流入含酸废水使曝气池混合液pH值长时间处于酸性条件下,嗜酸性丝状微生物大量繁殖,另外排放酸性废水的管道内生长的丝状微生物膜周期性脱落也会导致混合液中的丝状微生物的增殖。
(3)进水中氮磷营养物质比例偏低,而丝状菌能够在氮磷等营养物质严重不足的情况下大量繁殖,并在混合液中占优势,进而引起污泥膨胀。
(4)曝气池有机负荷过高导致活性污泥的凝聚性能和沉淀性能变差,SVI值升高。
(5)进水中低分子有机物含量大,而低分子有机物是丝状菌最容易吸收利用的成分,从而使丝状微生物大量繁殖,曝气池混合液沉降性能降低。
(6)曝气池混合液溶解氧不足使絮体生长受抑制。而丝状菌生物却能够在0.1mg/L以下条件中大量繁殖,导致活性污泥膨胀,SVI值升高。
(7)进水中有毒有害物质增加,如酚、醛、硫化物等类物质含量突然升高,使微生物菌胶团凝聚性能下降,大量解絮,而丝状菌则得以增殖,SVI升高。
(8)高浓度有机废水缺氧腐败后进人曝气池,其中含有大量的低分子有机物和硫化物等,从而使丝状菌大量繁殖,SVI值升高。
(9)消化池上清液短时间内进人曝气池。其中的高浓度有机物使曝气池有机负荷升高,丝状菌大量繁殖。
(10)的进水中SS较低而溶解性有机物比例较大,使得污泥容重降低,固液难以分离从而使SVI值升高。
(11)污泥在二沉池停留时间过长,会导致其中溶解氧含量下降,污泥因此腐化变质,进而使回流污泥中丝状菌大量繁殖,引起曝气池活性污泥膨胀,SVI增高。
SVI升高的原因总结:

五、曝气池运行管理——泡沫问题
生化系统泡沫比较好的分类方法是通过颜色和黏度进行分类,因为确认泡沫不同的颜色和黏度能够指导我们判断目前活性污泥所处的状态。
1 棕黄色泡沫

现象描述:
泡沫产生时数量不多,靠近曝气团四周液面少量产生,沿辐射方向逐渐消散,到四周角落时开始积聚,泡沫颜色呈棕黄色,泡沫色与当时活性污泥颜色相同。整个泡沫形成到积聚的过程中,泡沫呈易碎状态,所以此类泡沫在短时间内不会发生严重的积聚而导致大量浮渣产生。
原因分析:
活性污泥处于老化状态,部分活性污泥因为老化而解体,悬浮在活性污泥混合液中,在曝气状态下均匀附着在泡沫中,导致泡沫破裂的时间延长,这为泡沫积聚创造了条件。
工艺判断:
此类泡沫产生是污泥处于或即将进入活性污泥老化状态的一种表现。
1、活性污泥的沉降比方面。
活性污泥的沉降比观察是判断活性污泥是否出现老化的重要方法之一,通过沉降比值是否偏小,沉降的活性污泥是否色泽暗黄,沉降速度是否过快等方面的确认,结合液面产生的棕黄色泡沫即可较为准确的判断活性污泥是否出现了老化现象。
2、SVI值方面。
SVI值用来判断活性污泥的松散程度确实是很好的指标,然而它也具备判断活性污泥是否发生老化的功能。当SVI值低于40的时候,活性污泥通常发生了老化,结合液面产生的棕黄色泡沫即可较为准确地判断活性污泥是否出现了老化现象。
3、显微镜观察结果。
对于老化的活性污泥,显微镜观察方面也能很好的发现。重点是菌胶团的致密程度和后生动物出现的比重,如果观察到的菌胶团比较致密,且后生动物大量较多,结合液面的棕黄色泡沫,可以判断活性污泥是否处于老化阶段。
2 灰黑色泡沫
现象描述:
泡沫数量、产生过程、积聚、易碎性与棕黄色泡沫特性相同,但其颜色中带有黑色的成分,所积聚的产物也呈灰黑色,观察整个生化系统的活性污泥颜色也有略带灰黑色的感觉。
原因分析:
活性污泥处于缺氧状态,缺氧的状态可使活性污泥出现局部的厌氧反应,这样,原本处于好氧状态的活性污泥就会在这个转变的过程中出现死亡,同样也就会附着在曝气时的气泡上了。
所以如果我们看到产生的泡沫呈灰黑色的话,除了确认进水是否含有黑色染料废水外,主要就是要确认生化池是否在局部有曝气不足产生的厌氧情况发生。
工艺判断:
灰黑色泡沫多半是活性污泥系统出现了缺氧或厌氧状态,对应的工艺控制各指标的确认也就需要围绕这一方面展开。灰黑色泡沫产生时重点需要对DO值进行综合判断。
确认活性污泥系统是否处于缺氧和厌氧状态,最好的方法是直接通过溶解氧仪进行实地检测,这方面我们的操作人员容易犯的错误就是只检测一个点来判断生化系统的整体溶解氧状况,这种做法是片面的。
为了避免这种情况,需要对整个生化系统均匀布点进行实地检测,只有这样才能发现局部的供氧不足死角。如果溶解氧在某些位置监测值低于0.5ppm的话,我们就需要重点对这些位置进行确认。
3 白色泡沫

现象描述:
白色泡沫产生的原因很多,但主要常见于负荷过高、曝气过度、洗涤剂流入等。而在区别是何种原因导致的白色泡沫时,泡沫的黏度能给我们很多的参考。
通常情况下,粘稠不易破碎的泡沫,常见于活性污泥负荷过高,而且此时的泡沫色泽鲜白,堆积性较好,而粘稠易破碎的泡沫常见于活性污泥的过度曝气,而且此时的泡沫色泽为陈旧的白色,堆积性差,只会发生局部堆积,洗涤剂的流入也会发生白色的泡沫,因为洗涤剂的存在,增加了水体的表面张力,最终导致泡沫的形成。
工艺判断:
白色泡沫的产生,基本归结为活性污泥负荷过高、曝气过量、洗涤剂流入等情况。
1、F/M值与白色泡沫的关系。
我们知道,判断活性污泥负荷的指标是F/M(即食微比值),如果F/M值过高(大于0.5),同时对应产生大量白色粘稠泡沫的话,我们就可以认为活性污泥确实是处于高负荷运转状态了。
2、DO值与白色泡沫的关系。
曝气过度同样会产生大量白色泡沫,虽然在泡沫黏度不高的情况下,正常的曝气量不会导致生化系统泡沫的产生,但活性污泥在过高的曝气量作用下,部分活性污泥会解体溶解,随即导致活性污泥清液中的有机物含量升高,这是在高曝气量情况下导致泡沫产生的一个原因。
为此,在保证活性污泥供氧的情况下,尽量降低曝气量,不但能减少泡沫产生,同时也能减少能源消耗,降低运行成本。通常控制曝气池出口DO值为1-3mg/l,如果一味提高曝气量,使得DO上升到5.0mg/l的话,对活性污泥系统产生的负面影响是较大的。
3、起泡物质流入的问题。
除处理负荷过高、曝气过度外,起泡物质流入生化系统同样可以导致活性污泥系统产生泡沫,比较常见的是生化系统中流入了洗涤剂或表面活性剂,在曝气作用下,很快就会产生大量白色泡沫。我们通过监测DO值及生化系统当时的污泥负荷情况就可以反过来推断是否进水水质的影响导致了活性污泥系统泡沫的产生。
4 彩色泡沫
现象描述:
彩色泡沫常发生于生化系统流入了带颜色的废水,通常这些带颜色的废水具备较高有机物浓度,在曝气的作用下,容易导致类似高负荷时产生的泡沫。由于水体本身就带有颜色,自然产生的泡沫也会带有颜色。
另一种情况就是污水、废水中富含表面活性剂或洗涤剂,流入生化系统后,自然也会导致泡沫产生,在阳光照射下,这些泡沫表面会产生五彩缤纷的颜色,这对判断此类泡沫的产生原因有很大帮助。
工艺判断:
彩色泡沫的产生与带色废水的流入和洗涤剂及表面活性剂的流入有关。所以通过观察物化区处理出水是否仍带有颜色可以判断。如部分废水是否会对生化系统也产生颜色干扰。就洗涤剂及表面活性剂的问题,重点也是确认物化区位置的泡沫堆积情况。由此来判断表面活性剂及洗涤剂对后续生化系统对泡沫产生的影响。
活性污泥是一个动态的系统,意味着在日常运行中要多看多观察多思考。除了对于池面泡沫的观察,我们还要时刻关注液面浮渣的情况,配合多项指标,如SV30、溶解氧、食微比、生物相观察等,才能快速且准确的做出工艺判断。
文章来源:公众号《水处理研究院》