轻松掌握AAO、AO计算,提升工艺效率
发布时间:2024-11-15 10:31:20 来源:13205126766 水处理研究院 作者:本站编辑 浏览次数:

目前,我国污水处理厂采用的脱氮除磷技术大多都是生物法,像什么AO工艺、AAO工艺、氧化沟工艺、AB工艺、SBR工艺等....

这些工艺听着不算新,看着也挺简单,但要想真弄懂它们各自的设计计算及运行管理,还是要下一番功夫的。
为此,水处理研究院为大家总结了7个活性污泥法基础公式+14个AAO工艺常用公式+24个AO工艺相关公式

图片



图片

活性污泥法的基本计算公式

图片


1、处理效率的计算

图片

式中,
η——BOD去除效率,%
Sa——进水BOD浓度,kg/m3
Se——出水BOD浓度,kg/m3

2、混合液污泥浓度的计算

图片

式中,
X——污泥浓度MLSS,kg/m3;
R——污泥回流比
Xr——回流污泥浓度,mg/L

3、曝气池容积的计算

图片

式中,
V——曝气池容积,m3
Q——污水设计流量,m3/d
Ns——BOD-污泥负荷,kgBOD5/(kgMLSS·d)

4、水力停留时间的计算

图片

式中,
T——水力停留时间,h

5、污泥产量的计算

干泥量

图片

式中,
△Xv——系统每日排除剩余污泥量,kg/d
a——污泥增值系数,0.5~0.7
Sr——去除BOD浓度,kg/m3
b——污泥自身氧化率,0.04~0.1;
Xv——挥发性悬浮固体浓度MLVSS,kg/m3;满足XV=fX=0.75X

湿泥量

图片

式中,
Xr——回流污泥浓度,mg/L
SVI——污泥指数

图片

△Xv——系统每日排除剩余污泥量,kg/d
Xr——回流污泥浓度,mg/L

6、泥龄的计算

图片

式中,
θc——泥龄,生物固体平均停留时间,d

7、曝气池需氧量的计算

图片

式中,
O2——混合液每日需氧量,kgO2/d
a`——氧化每千克BOD需氧千克数,kgO2/kgBOD,一般取0.42~0.53
b`——污泥自身氧化需氧量,kgO2/(kgMLVSS·d),一般取0.188

图片


图片

AAO工艺相关计算公式

图片


AAO工艺的计算方法分为污泥负荷法和劳-麦模式方程法。

◎ 按BOD5污泥负荷计算

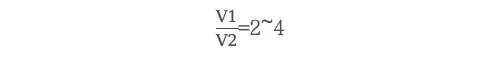
1、生化反应容积比的计算

图片

式中,
V1——好氧段容积,m3
V2——厌氧段容积,m3

2、生化反应总容积的计算

图片

式中,
V——生化反应总容积,m3
Q——污水设计流量,m3/h
L0——生化反应池进水BOD5浓度,kg/m3
X——污泥浓度,kg/m3
Ns——BOD污泥负荷,kgBOD5/(kgMLSS·d)

3、水力停留时间的计算

图片

式中,
t——水力停留时间,h

4、剩余污泥量的计算

图片

式中,
a——污泥产率系数,kg/kgBOD5,一般为0.5~0.7
b——污泥自身氧化系数,d-1,一般为0.05
W——剩余污泥量,kg/d
Lr——生化反应池去除BOD5浓度,kg/m3
Q平——平均日污水流量,m3/d
Sr——反应器去除的SS浓度,kg/m3
Xv——挥发性悬浮固体浓度,kg/m3
Xv=0.75X

5、剩余活性污泥量的计算

图片

式中,
Xw——剩余活性污泥量,kg/d

6、湿污泥量的计算

图片

式中,
Qs——湿污泥量,m3/d
P——污泥含水率,%

7、污泥龄的计算

图片

式中,
θc——污泥龄,d

8、最大需氧量的计算

图片

式中,
a`、b`——分别为1.4、1.42

9、回流污泥浓度的计算

图片

式中,
Xr——回流污泥浓度,mg/L

10、混合液回流污泥浓度的计算

图片

式中,
R——污泥回流比,%

◎ 采用劳-麦式方程计算

1、污泥龄的计算

图片

式中,
θc——污泥龄,d
Y——污泥产率系数,kgVSS/(kgBOD5)
Ns——污泥负荷,kgBOD5/(kgMLSS·d)
Kd——内源呼吸系数,d-1
Q——污水设计流量,m3/d
V——反应器容积,m3
R——回流比,%

2、曝气池内污泥浓度的计算

图片

式中,
X——曝气池内活性污泥浓度,kg/m3
t——水力停留时间,h
L0——原废水BOD5浓度,mg/L
Le——处理水BOD5浓度,mg/L

3、最大回流污泥浓度的计算

图片

式中,
Xmax——最大回流污泥浓度,mg/L

4、最大回流挥发性悬浮固体浓度的计算

图片

式中,
Xr——最大回流挥发性悬浮固体浓度,mg/L
f——系数,一般为0.75


图片



图片

AO工艺的相关计算公式

图片


◎ 按BOD5污泥负荷计算

1、生化反应池容积比的计算

图片

式中,
V1——好氧段容积,m3
V2——缺氧段容积,m3

2、剩余污泥量的计算

图片

式中,
a——污泥产率系数,kg/kgBOD5,一般为0.5~0.7
b——污泥自身氧化系数,d-1,一般为0.05
W——剩余污泥量,kg/d
Lr——生化反应池去除BOD5浓度,kg/m3
Q平——平均日污水流量,m3/d
Sr——反应器去除的SS浓度,kg/m3,且满足Sr=S0-Se
S0、Se——生化反应池进出水的SS浓度,kg/m3
Xv——挥发性悬浮固体浓度,kg/m3
f——系数,取0.75
50%——不可降解和惰性悬浮物量占总悬浮物量的百分数

3、污泥龄的计算

图片

式中,
θc——污泥龄,d,泥龄与水温关系(硝化率大于80%)为θc=20.65e×P(-0.0639t)t为水温,℃


4、最大需氧量的计算

图片

式中,
a`、b`、c`——分别为1、4.6、1.42
Nr——氨氮去除量,kg/m3
ND——硝态氮去除量,kg/m3
Xw——剩余活性污泥量,kg/d

5、内回流比的计算

图片

式中,
RN——内回流比,%
ηTN——总氮去除率,%


需要特别说明的是,AO工艺的「生化反应池总容积」「水力停留时间」「剩余活性污泥量」「湿污泥量」「回流污泥浓度」「曝气池混合液浓度」的计算方法与公式均与AAO工艺相似,可参考AAO工艺的相关计算。

◎ 按活性污泥法反应动力学模式计算

1、污泥龄的计算

图片

式中,
θc——硝化菌最小世代时间,由下图确定


图片

硝化菌最小世代时间与温度的关系


2、硝化区容积的计算

图片

式中,
V——硝化区容积,m3
Kd——内源呼吸系数,d-1
Y——污泥产率系数,kgVSS/kgBOD5
Y`——净污泥产率系数(或表观污泥产率系数),kgVSS/kgBOD5
Q——废水流量,m3/d
L0——原废水BOD5浓度,mg/L
Le——处理水BOD5浓度,mg/L
θc——生物固体平均停留时间,d

3、反硝化区容积的计算

图片

式中,
VD——反硝化区(池)所需容积,m3
X——混合液悬浮固体浓度,mg/L
DNR——反硝化速率,kgN/(kgMLSS·d),反硝化速率与温度关系见下图


图片

反硝化速率与温度之间关系
NT——需要去除的硝酸氮量,kg(NO3-N)/d
N0——原废水中的含氮量,kg/d
Nw——随剩余污泥排放而去除的氮量,kg/d(细菌细胞含氮量为12.4%)
Ne——随处理水排放挟走的氮量,kd/d

◎ 按污泥龄和硝化速率法计算

1、硝化菌最大比增长速率的计算

图片

式中,
μN,max——硝化菌最大比增长速率,d-1
T——水温度,℃

2、硝化菌比增长速率的计算

图片

式中,
μN——硝化菌比增长速率,d-1
KN——硝化菌氧化氨氮饱和常数,mg/L,一般为1.0mg/L
N——硝化出水NH4+-N浓度,mg/L

3、最小泥龄的计算

图片

式中,
θmc——最小污泥龄,d

4、设计污泥龄的计算

图片

式中,
SF——安全系数
PF——峰值系数
DF——设计因数,一般为1.5~3.0

5、表观产率系数的计算

图片

式中,
Y——合成系数,一般为0.5~0.7
Kd——衰减系数,d-1,一般为0.06~0.24d-1

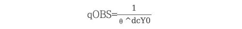
6、含碳有机物去除速率的计算

图片

式中,
qOBS——含碳有机物去除速率,kg/(kg·d)

7、好氧池水力停留时间的计算

图片

式中,
S0——进水有机物浓度,mg/L
Se——出水有机物浓度,mg/L
X——混合液污泥浓度,mg/L

8、好氧池容积的计算

图片

式中,
V——好氧池容积,m3

9、硝化氮去除量的计算

图片

式中,
m——脱氮量,kg/d
Q——设计流量,m3/d
NO0——硝化产生NO3-N量,mg/L
NOe——出水中NO3-N含量,mg/L

10、反硝化速率的计算

图片

式中,
qDNR——反硝化速率,kgNO3-N(kgVSS·d),一般为0.05~0.15
F/M——污泥负荷,kg/(kg·d)


11、温度T℃时反硝化速率的计算

图片

式中,
qD,T——温度T℃时反硝化速率,kg/(kg·d)
qD,20——20℃时反硝化速率,kg/(kg·d)
θ——温度系数,一般为1.09~1.15
T——水温,℃

图片


12、缺氧池MLSS总质量的计算

图片

式中,
W——MLVSS总质量,kgVSS

13、缺氧池容积的计算

图片


14、污泥回流比的计算

图片

式中,
XR——回流污泥浓度,mg/L

15、内循环比的计算

图片

式中,
ηN——反硝化脱氮率,%
I——内循环比


16、需氧量的计算

图片

式中,
D1——含碳有机物氧化需氧量,kd/d
D2——硝化需氧量,kg/d
D3——反硝化减少需氧量,kg/d

文章来源:公众号《水处理研究院》


分享到:
登录 之后才能发表评论

热门评论

相关搜索
颁布时间
相关新闻 更多