城市污水处理厂产泥量的计算
发布时间:2023-06-27 17:31:59 来源:工业环保网水处理 作者:本站编辑 浏览次数:

污水处理污泥分类及特性

1.按成分不同分
污泥:以有机物为主要成分。其主要性质是易于腐化发臭,颗粒较细,比重较小(约为1.02~1.006),含水率高且不易脱水,属于胶状结构的亲水性物质。初次沉淀池与二次沉淀池的沉淀物均属污泥。
沉渣:以无机物为主要成分。其主要是颗粒较粗,比重较大(约为2左右),含水率较低且易于脱水,流动性差。沉砂池与某些工业废水处理沉淀池的沉淀物属沉渣。
2.按来源不同分
初次沉淀污泥(也称生污泥或新鲜污泥):来自初次沉淀池。
剩余活性污泥(也称生污泥或新鲜污泥):来自活性污泥法后的二次沉淀池。
腐殖污泥(也称生污泥或新鲜污泥):来自生物膜法后的二次沉淀池。
消化污泥(也称熟污泥):生污泥经厌氧消化或好氧消化处理后的污泥。
化学污泥(也称化学沉渣):用化学沉淀法处理污水后产生的沉淀物。例如,用混凝沉淀法去除污水中的磷;投加硫化物去除污水中的重金属离子;投加石灰中和酸性污水产生的沉渣以及酸、碱污水中和处理产生的沉渣等均称为化学污泥。
3.城市污水厂污泥的特性见表
表 城市污水处理厂污泥的性质和数量

污泥种类
污泥量 g/(L.d)
含水率 %
相对密度
比阻 s2/g
沉砂池沉渣
0.03(L/m3)
60
1.5

初沉池污泥
14~25
95~97.5
1.015~1.02
(1.31~2.11)×1010
活性污泥法污泥
7~19
96~98
1.02
2.80×1010
生物膜法污泥
10~21
99.2~99.6
1.005~1.008


4.污泥中水的存在形式

空隙水,颗粒间隙中的游离水,约70%,可通过重力沉淀(浓缩压密)而分离;毛细水,是在高度密集的细小污泥颗粒周围的水,由毛细管现象而形成的,约20%,可通过施加离心力、负压力等外力,破坏毛细管表面张力和凝聚力的作用力而分离;颗粒表面吸附水和内部结合水,约10%。表面吸附水是在污泥颗粒表面附着的水分,起附着力较强,常在胶体状颗粒,生物污泥等固体表面上出现,采用混凝方法,通过胶体颗粒相互絮凝,排除附着表面的水分;内部结合水,是污泥颗粒内部结合的水分,如生物污泥中细胞内部水分,无机污泥中金属化合物所带的结晶水等,可通过生物分离或热力方法去除。
通常含水率在85%以上时,污泥呈流态;65%~85%时呈塑态;低于60%时则呈固态。

城市污水厂产泥的计算

城市污水处理产生的污泥主要是初沉池污泥和活性污泥(剩余污泥量),计算方法如下: 
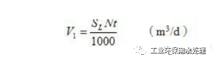
1.初沉污泥体积流量V1 
图片
式中:
Q——污水流量,取污水厂的平均日流量,m 3 /d;
C——进入初沉池污水中悬浮物浓度,kg/m 3 ; 
η ——初沉池沉淀效率(城市污水厂一般取50%),%; 
P1——污泥含水率(一般取95%-97%),%; 
ρ ——初沉池污泥浓度(以1000kg/m 3 计),kg/m 3 。 
或者按下面公式计算:
图片
式中:
SL——每人每日污泥量[按每人每日计产生的初沉污泥量为 14-27g,初沉污泥含水率以 95%-97%计,则每人每日产生初沉污泥量一般采用0.3-0.8L/(人·d)],L/(人·d); 
N——设计人口数(可采用城市人口数或污水处理厂设计当量人口数),人; 
t——初沉池两次排泥的间隔时间,d。
应注意V1 是计算公式中所取定含水率P1 时的污泥量。 
2.剩余污泥体积流量V2 
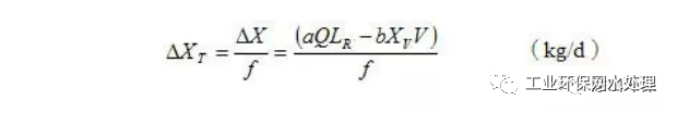
剩余污泥干质量Δ XT
每日排除剩余污泥干重Δ XT(kg/d)等于活性污泥系统中每日产生的活性污泥干质量。 
图片
式中:
Δ X——挥发性物质基污水厂剩余污泥流量,kg/d; 
Q——平均体积流量,m 3 /d; 
a、b——污泥产率系数和污泥自身氧率,以生活污水为主的城市污水,一般为0.5-0.6,为0.06-0.1/d; 
LR——曝气池进水BOD5 浓度差,kg/m 3 ; 
XV——曝气池混合液挥发性悬浮物固体浓度,kg/m 3 ; 
V——曝气池容积,m 3 ; 
f——曝气池挥发性悬浮固体和悬浮固体浓度值比, 
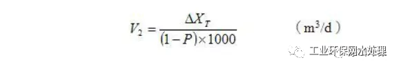
剩余污泥的体积量V2
图片
式中:
P 为剩余污泥含水率,取99.2%-96%。 
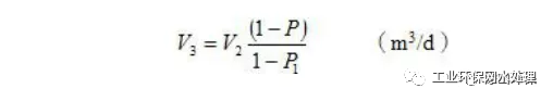
3.浓缩剩余污泥体积流量V3
图片
式中:
V2——浓缩前的污泥量; 
P,P1——浓缩前、后的污泥含水率,可分别取99.2%和96%。

图片

END

图片




(免责声明:整理此文是出于传递更多信息之目的。若有来源标注错误或侵犯了您的合法权益,请作者持权属证明与本网联系,我们将及时更正、删除,谢谢。)

分享到:
登录 之后才能发表评论

热门评论